振動臺做運輸包裝試驗應該參照那些標準?
運輸包裝試驗就是模擬產品的運輸過程,通過試驗找出產品的設計缺陷,可能存在的風險。提前預見產品在運輸過程中的損失,且實現產品設計成本合理化,也是進行產品運輸問題事故仲裁的有效手段。
振動是運輸包裝試驗項主要組成部分之一,在運輸過程中,產品會因振動發生表面擦傷、漆膜或鍍膜脫落等問題,內部部件還會因反復施加作用力發生螺釘松動、部件變形彎曲、產生裂紋、斷裂、脫落等現象。
產品運輸所受的振動危害主要來自運輸環境和運輸工具。運輸工具主要包括:公路運輸、鐵路運輸、空運和海運。 在汽車運輸過程中,公路路面的起伏不平、汽車發動機的固有振動、輪胎的充氣程度和減震彈簧的性能等因素,都會使產品發生任意方向的振動; 在火車運輸過程中,受牽引機車和鐵軌接縫的影響,產品也會發生周期性的振動; 在海運過程中,產品除了受到發動機的振動影響外,還因水面風浪的顛簸發生低頻振動; 在空運過程中,產品不但受到發動機高頻激振的影響,還會受氣流作用產生低頻振動以及周期性的上下和左右搖擺。
在國內外的一些研究中,四大運輸環境里船舶的隨機振動量很小,火車和飛機的隨機振動功率譜密度值比汽車小得多,汽車運輸的機械條件最差。
運輸包裝振動試驗的類型是從正弦定頻→正弦掃頻→隨機振動發展而來的。正弦定頻振動試驗可以在選定的一個或數個頻率(通常選試件的共振頻率)下對試件進行振動試驗,由于不可能測出試件所有的共振頻率對產品的影響,同時,共振頻率本身在試驗過程中也是變化的,于是就發展了正弦掃頻振動試驗,該試驗過程中對試件所能碰到的所有共振頻率都能進行衡量。那為什么又要進行隨機振動試驗呢?這是因為在進行正弦掃頻振動試驗時,試件在各共振頻率下依次發生共振,而隨機振動試驗時,試件各共振頻率同時發生共振。
產品的振動試驗分為正弦定頻振動試驗、正弦變頻振動試驗和隨機振動試驗三種。振動試驗中需要確定的量值很多,三種振動試驗中需要確定的量值如表所示。 1. 正弦定頻振動
正弦定頻振動試驗方法有兩種:
(1) 定加速度法
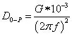
具體測試方法《GB/T 4857.7-2005》中有介紹,這里只介紹一個力學條件量值公式,因為振動頻率、振動加速度和振幅三者之間存在著固定的數學關系,用振動狀態方程式表示為:

式中,D0-p 為表示半峰值位移,單位為mm;G 為表示振動加速度,一般習慣用g 的倍數表示;f 為表示振動頻率,單位為Hz。
(2) 定位移法
具體測試方法《GB/T 4857.7-2005》中有介紹,這里只介紹另外兩種標準。
-
ASTM D999標準:位移一般確定為25.4mm,振動頻率主要在低頻范圍內,一般為2-5Hz。
-
ISTA標準:ISTA 1A規定,當運輸包裝件質量小于68kg時;ISTA 1B規定,當運輸包裝件質量大于68kg時。

2. 正弦變頻振動
正弦變頻振動試驗方法有兩種,具體測試方法《GB/T 4857.10-2005》中有介紹,這里只介紹兩個力學條件量值公式,倍頻程和變頻速率。
倍頻程計算公式為:

式中,n 表示倍頻程,單位為oct。
變頻速率計算公式為:

式中,R 表示變頻速率,單位為oct/min;T 表示變頻時間,單位為min或s。
3. 隨機振動
隨機振動試驗具體測試方法《GB/T 4857.23-2012》中有介紹,這里只介紹三個力學條件量值功率譜密度 (PSD)、加速度均方根 (Grms) 和振動時間。國內外通過采集運輸數據,利用統計學制定出隨機振動譜。以ASTM D4169-08為例,如圖:

ASTM D 4169-08《運輸包裝箱和系統性能測試標準規范》中卡車隨機振動第Ⅱ等級路譜
如圖已知各頻率下的PSD值,Grms 值則為功率譜密度譜線下的面積值開平方。PSD變化n 倍和Grms 變化m 倍,n 和m 直接是存在倍數關系的,如圖:

利用這種關系,也是可以建立新的隨機振動譜,Grms 值越大,隨機振動的能量就越大。
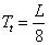
各種標準對試驗時間有著不同的要求,GB/T 4857.23-2012推薦值為3小時。ASTM D4169-08規定振動時間的范圍是0.5~6小時,推薦值為3小時。各標準試驗時間都有計算方程式,以ISTA為例:
![]()
式中,Tt 為試驗時間,單位為min;L 為運輸距離,單位為km;8 為試驗時間估算常數,標準中規定試驗時間最大為6小時。
從這三種振動對應的力學條件和量值來看,它們都是獨立的,不存在這個試驗可以完全替代另一個試驗,也不存在這個試驗比另一個試驗更加嚴酷。根據產品定義,正確選擇試驗項目、試驗強度和試驗時間可以讓試驗結果更接近現實。
GB/T 4857.10-2005 包裝 運輸包裝件基本試驗 第10 部分:正弦變頻振動試驗方法 GB/T 4857.7-2005 包裝 運輸包裝件基本試驗 第7 部分:正弦定頻振動試驗方法 GB/T 4857.23-2012 包裝 運輸包裝件基本試驗 第23 部分:隨機振動試驗方法 ISTA 1A、ISTA 1B、ISTA 3E、ISTA 3H ASTM D4728-06《運輸包裝箱隨機振動測試》 ASTM D4169-08《運輸包裝箱和系統性能測試標準規范》 ASTM D999







